Turto ir verslo vertintojo profesijos, turto ir verslo vertinimo veiklos istorija Lietuvoje artėja prie dvidešimties metų. Šios veiklos teisinio reguliavimo aktai turi penkiolikos metų ar kiek ilgesnę istoriją, kitusią kartu su vertinimo paslaugų plėtote.
Straipsnio tikslas - apžvelgti Lietuvos turto vertintojų profesinės veiklos reglamentavimo ir teisinio reguliavimo principus, jų kaitą formuojant vertintojų profesinę parengtį ir brandos dalykus. Analizuojant teisės aktų nuostatas, siekiama apibendrinti turimą publikacijų ir tyrimų medžiagą, pateikti įžvalgas ateičiai.
Pirmieji Lietuvos turto vertintojų veiklos ir brandos apibendrinimai buvo pateikti prieš gerą dešimtmetį. Šiose publikacijose nagrinėti ir teisinės bei metodinės bazės dalykai. Vertinimo veiklos efektyvumo prielaidas ir galimybes bei profesinės parengties bruožus esame glaustai aptarę ankstesnėje publikacijoje. Šįkart analizės ir tyrimų dėmesį koncentruojame į vertinimo veiklos teisinio reguliavimo dalykus.
Reikia pabrėžti, kad turto vertinimo veiklos ir jos reglamentavimo istorija Lietuvoje išties trumpa, prasidėjusi netikėtu, iki galo gerai nesuvoktu socialiniu užsakymu po Lietuvos nepriklausomybės atkūrimo. Turto ir verslo vertinimo procedūros sudėtingumas, prisiimama atsakomybė diktavo ir tebediktuoja gana aukštus reikalavimus asmens, pretenduojančio į turto ar verslo vertintojus, intelektinėms savybėms ir galimybėms, asmeniniams gebėjimams, gyvenimiškai patirčiai.
Turto vertinimas yra intelektinė veikla, reikalaujanti savianalizės, savistabos, savęs kaip specialisto ugdymo, savireguliavimo. Pažymėtina, kad vertintojo kaip profesionalios veiklos specialisto formavimasis vyko savarankiškai ir kiek anksčiau nei specializuoto mokymo programomis sugebėjo reaguoti šalies aukštosios mokyklos, universitetai.
Pirmosios bangos turto vertintojai 1994-1996 m. parengė ir pateikė Lietuvos Respublikos Vyriausybei aiškius kriterijus ir principus, pirmųjų teisės aktų, reglamentuojančių turto vertinimo veiklą, projektus (Bendrieji turto vertės nustatymo principai, 1995; Turto vertinimo metodika, 1996).
Prie Finansų ministerijos 1995 m. suformuota Atestacinė komisija nuveikė didelį darbą formuluodama ir formuodama kvalifikacinius reikalavimus turto ir verslo vertintojams, parengdama aiškias nuostatas Turto ir verslo vertinimo sistemai ir teisinei bazei plėtoti. Vyriausybės nutarimu patvirtinti Atestacinės komisijos veiklos nuostatai suponavo ir suformavo bendruosius vertintojų profesinės parengties kriterijus: išsilavinimo, praktinės patirties ir kvalifikacinio egzamino.
Daugiapakopė vertintojų kvalifikacijos sistema, patvirtinta ir įteisinta 1998 m. Vyriausybės nutarimu bei 1999 m. Turto ir verslo vertinimo pagrindų įstatymu, nustatė ne tik bazinio akademinio išsilavinimo, bet ir tęstinio profesinio mokymo(si) reikalavimus.
2011 m. birželio mėn. Seime priimta nauja Turto ir verslo vertinimo pagrindų įstatymo redakcija, įsigaliojanti nuo 2012 m. gegužės 1 d., suponuoja naujas turto ir verslo vertintojų profesinės parengties prielaidas ir veiklos sąlygas. Šis įstatymas, kaip skelbia jo 1 straipsnis, „nustato turto arba verslo vertės nustatymo principus, turto arba verslo vertinimo pagrindus ir atvejus, turto arba verslo vertintojų ir turto arba verslo vertinimo įmonių veiklos pagrindus ir veiklos priežiūrą, turto arba verslo vertintojų ir turto arba verslo vertinimo įmonių teises, pareigas ir atsakomybę, turto arba verslo vertintojams ir turto arba verslo vertinimo įmonėms keliamus reikalavimus. Kiti Lietuvos Respublikos įstatymai turto arba verslo vertintojams ir turto arba verslo vertinimo įmonėms taikomi tiek, kiek jų veiklos nereglamentuoja šis įstatymas“.
Straipsnio autoriams teko ir tenka aktyviai dalyvauti rengiant ir diskutuojant dėl teisės aktų projektų, įgyvendinant teisės aktų reikalavimus. Todėl norime apžvelgti Lietuvos turto vertintojų profesinės veiklos reglamentavimo ir teisinio reguliavimo principus, jų kaitą formuojant vertintojų profesinę parengtį ir brandą. Analizuodami teisės aktų nuostatas, norime apibendrinti turimą publikacijų ir tyrimų medžiagą, pateikti įžvalgas ateičiai, pabandyti dar kartą atsakyti į pradžioje pateiktą klausimą apie mokslą ir meną bei atliepti į straipsnio pavadinime užkoduotus analizės aspektus.
Turto Vertinimo Veiklos Teisinis Reglamentavimas
„Turto vertintojų veiklos kelrodė žvaigždė“ - taip teisininkas ir turto vertintojas V. Šablavinskas pavadino Turto ir verslo vertinimo pagrindų įstatymą, priimtą 1999 m. gegužės 25 d., įsigaliojusį nuo 1999 m. liepos 1 d., pabrėždamas, kad jis „turto vertintojų bendruomenės buvo sutiktas su džiaugsmu ir nerimu“.
Su džiaugsmu, kad turto vertinimo veikla buvo įteisinta įstatymu. Iš esmės daugelis Rytų ir Vidurio Europos šalių, išgyvendamos politinių ir ekonominių pokyčių laikotarpį ir plėtodamos rinkos ekonomiką, turto vertinimo veiklai taikė teisinį reguliavimą, valstybės institucijos rūpinosi turto vertintojų atestavimu. Vakarų Europos šalims tai nėra būdinga, čia vertintojų veiklos tradicijos yra susijusios su ilgamete rinkos ekonomikos paslaugų tradicija, profesionalų organizacijomis (pvz., Jungtinė Karalystė, Švedija ir kitos šalys), kurios suinteresuotos savo narių profesiniu pasirengimu.
1999 m. Turto ir verslo vertinimo pagrindų įstatymas (27, 28 ir 29 straipsniai) suteikė turto vertintojų ir turtą vertinančių įmonių veiklos valstybinės priežiūros įgaliojimus Lietuvos Respublikos audito, apskaitos ir turto vertinimo institutui (toliau - Institutas). Įstatymas nustatė, kad ši institucija, šalia visų kitų užduočių ir įgaliojimų, „turto vertintojų ir turtą vertinančių įmonių veiklos valstybinei priežiūrai įgyvendinti pasitelkia visuomenines turto vertintojų organizacijas bei Lietuvos Respublikos arba užsienio šalių mokymo įstaigas“.
Toks pasitelkimas detaliau aptartas Instituto įstatuose, Vyriausybės ir Finansų ministerijos priimtuose teisės aktuose ir vykdomas pagal nustatytą tvarką. Lietuvos turto vertintojų asociacijos (LTVA) veikla ir indėlis kuriant teisinę bei metodinę bazę yra apžvelgti ir čia išsamiau nebeverta komentuoti.
Pabrėšime tik vieną turto ir verslo vertinimo veiklos ir jos teisinio reguliavimo ypatybę, gana neįprastą Lietuvoje, kur teisės aktus skubama keisti kuo dažniau, - tai turto ir verslo vertinimo sritį siejančių teisės aktų ilgaamžiškumas: Turto vertinimo metodika galioja nuo 1996 m., Turto ir verslo vertinimo pagrindų įstatymas - nuo 1999 m. Ir taip yra nepaisant to, kad šių dviejų teisės aktų prieštaravimai ir neatitikimai yra gana akivaizdūs, kaip ir tai, kad kai kurios Turto ir verslo vertinimo pagrindų įstatymo nuostatos nebeatitinka Civilinio kodekso reikalavimų.
Turto vertinimo veiklą reglamentuoja ir kiti teisės aktai - pirmiausia Akcinių bendrovių įstatymas (2000), Žemės įstatymas (2004), Nekilnojamojo turto mokesčio įstatymas (2005) ir jų pagrindu priimti įstatymų įgyvendinamieji teisės aktai. Tačiau ir šių teisės aktų nuostatų tarpusavio nesuderinamumas gana akivaidus. Turto ir/ar verslo vertinimo veiklos samprata šiuose teisės aktuose nėra nuosekli ir išbaigta.
Individualaus ir masinio turto vertinimo sąvokos apibrėžiamos gana miglotai ir skirtingai (plg. Turto ir verslo vertinimo pagrindų įstatymo, 1999, Nekilnojamojo turto mokesčio įstatymo, 2005, Turto ir verslo vertinimo pagrindų įstatymo pakeitimo įstatymo, 2011, masinio vertinimo sąvokų apibrėžtis).
Turto ir verslo vertinimo pagrindų įstatymas (1999) turto ir/ar verslo vertinimą apibrėžė kaip nešališką vertės nustatymą taikant šiame įstatyme (7 str.) nurodytus turto vertės nustatymo metodus ir apimantį vertintojo nuomonę apie turto būklę, jo tinkamumą naudoti ir tikėtiną piniginę vertę rinkoje. Panašiai turto vertinimą apibrėžia ir Turto vertinimo metodika (1996) - pagal ją turto vertinimas yra nešališkas turto vertės apskaičiavimas, apimantis vertinamo turto aprašymą ir jau minėtą vertintojo nuomonę.
Vertė minėtuose teisės aktuose suvokiama kaip turto ar verslo naudingumo tam tikru metu matas, nustatytas pagal atitinkamą vertinimo metodą. Paprastai turto vertė turi būti apibrėžiama lydimuoju, žymimuoju pavadinimu. Vertinimo metodas nulemia ir turto vertės pavadinimą - rinkos vertė, atkuriamoji vertė, naudojimo vertė, investicinė/investavimo vertė ir kt. Teisės aktuose verčių apibrėžtys įvairuoja. Nekilnojamojo turto mokesčio įstatymas įveda dar vieną sąvoką - nekilnojamojo turto vidutinė rinkos vertė (įstatymo 2 str. 10 dalis), jos plačiau nepaaiškindamas, tik nurodydamas jos nustatymą įvairiais vertinimo metodais ir būdais.
Rinkos ekonomikos sąlygomis bet kuri verslo paslauga (turto ir verslo vertinimas yra paslauga) rinkoje (ir valstybėje, viešajame gyvenime) kotiruojama tiek, kiek yra naudinga priimant sprendimus. Dualistinis vertinimo paslaugos naudingumas - naudinga visuomenei, naudinga paslaugos užsakovui - reikalauja vertintojo nešališkumo ir objektyvumo, vertinimo proceso skaidrumo, vertės nustatymo principų ir metodų apibrėžtumo.
Turto Arba Verslo Vertės Nustatymo Pagrindai
Turto arba verslo vertės nustatymo pagrindas yra nauda, kurią galima gauti turtą arba verslą protingai naudojant, plėtojant arba juo disponuojant.
Turto ir verslo vertinimo pagrindų įstatymo pakeitimo projektų buvo daug ir jų rengimo bei svarstymo istorija yra gana ilga. Kai ką iš šių projektų apžvelgė ir akcentavo V. Šablavinskas (2009). Kita dalis faktų ir informacijos liko Seimo posėdžių stenogramose, Finansų ministerijos archyvuose. Straipsnyje remiamasi LTVA archyvo ir tinklalapio (2005-2011 m.) medžiaga.
Dar 2002 m. pavasarį buvo parengtas Turto ir verslo vertinimo įstatymo pakeitimo projekto pirmasis variantas. Jo pagrindiniai akcentai - Lietuvos visuomeninių profesinių organizacijų (šiuo atveju - LTVA) statuso įteisinimas turto ir verslo vertinimo sistemos plėtros požiūriu. Paminėtina, kad įstatymo pakeitimo projekte buvo numatyta suteikti įgaliojimus LTVA - turto vertintojų atestavimo ir priežiūros srityse.
Suabejojusi LTVA kompetencija vertintojų atestavimo ir veiklos priežiūros klausimais, Teisingumo ministerija kartu su Finansų ir Ūkio ministerijomis pasiūlė Vertintojų rūmų su privaloma naryste, kaip vertintojų savivaldos ir veiklos priežiūros instrumento, modelį. Šio modelio svarstymas ir derinimas taip pat užtruko. Seimo komitetai įžvelgė korupcinius elementus.
Dar vienas svarstyti pateiktas modelis - Lietuvos Respublikos audito, apskaitos ir turto vertinimo instituto (AATVI) reorganizavimas į Turto vertinimo institutą (keičiant ne tik pavadinimą, bet ir struktūrą bei funkcijas).
LTVA Pozicija Įstatymo Projekto Atžvilgiu
LTVA teikė savo pastabas, pasiūlymus, tačiau į juos nebuvo atsižvelgiama. Liko galimybė tik stebėtis ilgai trunkančiomis įstatymo pakeitimo svarstymo peripetijomis, stabdančiomis Lietuvos turto vertintojų atestavimo sistemos akreditavimą pagal Europos Sąjungos ir Europos turto vertintojų asociacijų grupės (TEGoVA) reikalavimus, ir tuo, kad vertintojų priežiūros institucija (AATVI) nepajėgi vykdyti galiojančiame įstatyme nustatytų funkcijų.
Anot V. Šablavinsko (2009), nepaisant visokių siūlymų, pastabų, neigimų, akivaizdžiai reikalingų pakeitimų, pritarimų ir abejonių, iš esmės galima tvirtinti, kad buvo sprendžiamas išties hamletiškas klausimas: būti ar nebūti vertintojų savivaldai Lietuvoje?
Tačiau daugelyje Europos šalių, pirmiausia Europos Sąjungos šalyse, egzistuoja aiški vertintojų savivalda ir savireguliacija. Net Rusijoje prieš kelerius metus įteisinta vertintojų savivalda. Prielaidų - teisinių ir institucinių - tai padaryti Lietuvoje taip pat buvo. LTVA yra tarptautinių organizacijų narė nuo 1995 m., tarp jų ir Europos turto vertintojų asociacijų grupės narė.
Būtent TEGoVA formuluojami vertintojų kvalifikacijos ir atestavimo sistemų reikalavimai (Approved by TEGoVA; Recognized European Valuer, REV) orientuojami į nacionalines turto vertintojų visuomenines organizacijas, asociacijas. Lietuvos turto vertintojai didesniąja dalimi pasisakė už vertintojų bendruomenės savivaldą, privalomą narystę profesinėje vertintojų asociacijoje, Nacionalinių turto ir verslo vertinimo standartų įteisinimą.
Tačiau tokiems sprendimams atsirasti, matyt, trūko Seimo politinės valios ar Finansų ministerijos geranoriškumo ir teisinės praktinės logikos. Teisinės prielaidos ir galimybės vertintojų savivaldai formuoti, pakartojame, buvo gana aiškios. Privaloma narystė konkrečios profesinės veiklos asociacijoje ar leidimas užsiimti profesine veikla tik būnant asociacijos, organizacijos nariu nėra joks asmens ar specialisto laisvių ribojimas.
Turime aiškią analogiją su Antstolių rūmų ar kitų panašių profesinių rūmų organizacijų naryste ir Konstitucinio Teismo išaiškinimą. Konstitucinio Teismo byloje Nr. 44/06 priimtame 2008 m. sausio 7 d. nutarime „Dėl Lietuvos Respublikos antstolių įstatymo 45 straipsnio 3, 5 dalių atitikties Lietuvos Respublikos Konstitucijai“ teigiama: „Visa tai suponuoja, kad teisinis reguliavimas, įtvirtinantis privalomą antstolių narystę Rūmuose ir pareigas, susijusias su Rūmų išlaikymu, vertintinas ne apsiribojant vien Konstitucijos 35 straipsnio 1, 2 dalimis, bet kur kas plačiau - ir kitų Konstitucijos nuostatų, inter alia 48 straipsnio 1 dalies, kontekste. Konstatuotina, kad antstolių privaloma narystė Rūmuose ir pareigos, susijusios su Rūmų išlaikymu, ex lege yra neatskiriama nuo asmens laisvo apsisprendimo būti antstoliu ir vykdyti Antstolių įstatymo (2002 m. gegužės 9 d.
Įstatymo projektai kėlė aistras ir diskusijas. Apžvelkime 2005 m. Finansų ministerijos parengto ir Seimui pateikto Turto ir verslo vertinimo pagrindų įstatymo svarstymo eigą pagal LTVA turimą medžiagą (Įstatymo aktualijos LTVA tinklalapyje, 2005). Dar 2005 m. birželio 16 d. „Verslo žiniose“ žurnalistė T. Staniulytė straipsnyje „Gujami planinės ekonomikos reliktai“ pristatė Turto ir verslo vertinimo pagrindų įstatymo pakeitimo įstatymo projektą, kurį komentavo Kęstutis Kristinaitis, UAB korporacijos „Matininkai“ prezidentas.
2005 m. rugpjūčio 9 d. ELTA išplatino pranešimą „Turto vertintojams teks išlaikyti profesinį egzaminą“, kuriame akcentavo, kad „visi turto vertintojai turės būti atestuojami prižiūrinčių institucijų, o jų darbą vertins Turto vertintojų garbės teismas.
2005 m. rugpjūčio 11 d. „Verslo žinios“ pranešė, kad Vyriausybė pritarė Finansų ministerijos pateiktam įstatymo projektui. „Turto vertinimo įstatymas žiebia konfliktą, - rašo Sigita Migonytė, - mat yra nuogąstaujančiųjų, jog vertinimo verslas gali atsidurti vienos įmonės - Korporacijos „Matininkai“ reguliavimo sferoje“.
Vienas iš tokių nuogąstaujančiųjų - Gediminas Bareika, Vidutinių ir smulkių nekilnojamojo turto agentūrų asociacijos prezidentas, amžinas LTVA ir korporacijos „Matininkai“ oponentas. Įstatymo projekto rengėjų atstovai priekaištus atmetė ir baimes pavadino nepagrįstomis.
2005 m. rugpjūčio 7 d. „Lietuvos rytas“ išspausdino Dariaus Babicko rašinį „Turto vertintojai sukryžiavo ietis“, kuriame pagal seno pokalbio detales vėl...
Nekilnojamojo turto vertinimas yra svarbus procesas, kurio metu nustatoma konkretaus turto vertė. Ši ... Turto ir verslo vertinimas yra kompleksinis procesas, reikalaujantis ne tik teorinių žinių, bet ir praktinių įgūdžių. Šiame straipsnyje aptarsime pagrindinius turto ir verslo vertinimo aspektus, apibrėžimus ir metodus.
Pagrindiniai Apibrėžimai
Pirmiausia, svarbu susitarti dėl pagrindinių terminų, kurie bus naudojami šiame straipsnyje. Tai padės geriau suprasti turto ir verslo vertinimo esmę.
- Turtas: Ekonominė vertybė, kurią valdo asmuo ar įmonė ir kuri gali būti išreikšta pinigais.
- Verslas: Organizacija, užsiimanti komercine veikla, siekiant gauti pelną.
- Vertinimas: Procesas, kurio metu nustatoma turto arba verslo vertė.
Turto Vertinimo Metodai
Yra įvairių metodų, naudojamų turto vertei nustatyti. Kiekvienas metodas turi savo privalumų ir trūkumų, todėl svarbu pasirinkti tinkamiausią, atsižvelgiant į konkrečią situaciją.
- Lyginamasis metodas: Remiasi panašių objektų pardavimo kainomis rinkoje.
- Pajamų metodas: Prognozuoja būsimas pajamas, kurias turtas gali generuoti, ir diskontuoja jas į dabartinę vertę.
- Išlaidų metodas: Nustato turto vertę, įvertinant jo atkūrimo arba pakeitimo išlaidas.
MB kaip juridiniai asmenys: ką svarbiausia žinoti apie MB apmokestinimą pelno mokesčiu, PVM ir GPM
Lyginamasis Metodas
Šis metodas yra pagrįstas prielaida, kad panašūs objektai turėtų turėti panašią vertę. Vertintojas analizuoja rinką ir ieško panašių objektų, kurie neseniai buvo parduoti. Tada, atsižvelgiant į skirtumus tarp vertinamo turto ir lyginamųjų objektų, atliekamos korekcijos.
Pajamų Metodas
Pajamų metodas yra ypač naudingas vertinant turtą, kuris generuoja nuolatines pajamas, pavyzdžiui, nuomojamus pastatus ar verslus. Šis metodas remiasi prielaida, kad turto vertė yra lygi būsimų pajamų, kurias jis generuos, dabartinei vertei.
Išlaidų Metodas
Išlaidų metodas yra pagrįstas prielaida, kad pirkėjas nemokės už turtą daugiau, nei kainuotų jį atkurti arba pakeisti. Šis metodas dažnai naudojamas vertinant unikalius arba specializuotus objektus, kuriems sunku rasti rinkos analogų.
Verslo Vertinimo Metodai
Verslo vertinimas yra dar sudėtingesnis procesas nei turto vertinimas, nes reikia atsižvelgti į daugybę veiksnių, tokių kaip įmonės finansinė būklė, konkurencinė aplinka, valdymo kokybė ir būsimos augimo perspektyvos.
- Nuolaidų srautų metodas (DCF): Prognozuoja būsimus pinigų srautus ir diskontuoja juos į dabartinę vertę.
- Santykinis vertinimas: Palygina įmonės finansinius rodiklius su kitų panašių įmonių rodikliais.
- Turto vertės metodas: Įvertina visą įmonės turtą ir atima įsipareigojimus.
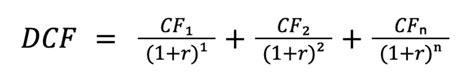
Nuolaidų Srautų Metodas (DCF)
DCF metodas yra vienas iš populiariausių verslo vertinimo metodų. Jis remiasi prielaida, kad verslo vertė yra lygi būsimų pinigų srautų, kuriuos jis generuos, dabartinei vertei. Šis metodas reikalauja kruopštaus būsimų pinigų srautų prognozavimo ir tinkamos diskonto normos pasirinkimo.

Diskontuotų pinigų srautų | DCF modelio žingsnis po žingsnio vadovas
Santykinis Vertinimas
Santykinis vertinimas remiasi prielaida, kad panašios įmonės turėtų būti vertinamos panašiai. Šis metodas apima įmonės finansinių rodiklių, tokių kaip pelno ir pajamų santykis, palyginimą su kitų panašių įmonių rodikliais.
Turto Vertės Metodas
Turto vertės metodas yra pagrįstas prielaida, kad verslo vertė yra lygi jo turto vertei atėmus įsipareigojimus. Šis metodas dažnai naudojamas vertinant įmones, kurios turi daug materialaus turto, pavyzdžiui, nekilnojamojo turto įmones.
Veiksniai, Turintys Įtakos Vertinimui
Turto ir verslo vertinimą įtakoja daugybė veiksnių. Svarbu atsižvelgti į šiuos veiksnius, siekiant gauti kuo tikslesnį rezultatą.
- Ekonominė situacija
- Rinkos sąlygos
- Konkurencija
- Valdymo kokybė
- Teisinė aplinka
Ekonominė Situacija
Ekonominė situacija turi didelę įtaką turto ir verslo vertei. Ekonomikos augimo laikotarpiu vertė paprastai didėja, o recesijos metu - mažėja.
Rinkos Sąlygos
Rinkos sąlygos, tokios kaip pasiūla ir paklausa, taip pat turi įtakos vertei. Jei pasiūla viršija paklausą, vertė paprastai mažėja, o jei paklausa viršija pasiūlą - didėja.
Konkurencija
Konkurencija taip pat gali turėti įtakos vertei. Jei įmonė veikia labai konkurencingoje rinkoje, jos vertė gali būti mažesnė nei įmonės, veikiančios mažiau konkurencingoje rinkoje.
Valdymo Kokybė
Valdymo kokybė yra svarbus veiksnys vertinant verslą. Gerai valdoma įmonė paprastai yra verta daugiau nei blogai valdoma įmonė.
Teisinė Aplinka
Teisinė aplinka, tokia kaip mokesčiai ir reguliavimas, taip pat gali turėti įtakos vertei. Pavyzdžiui, dideli mokesčiai gali sumažinti įmonės pelningumą ir atitinkamai sumažinti jos vertę.
Turto Ir Verslo Vertinimo Pritaikymas
Turto ir verslo vertinimas yra svarbus daugeliu atvejų, pavyzdžiui:
- Pirkimo-pardavimo sandoriuose
- Finansinėje atskaitomybėje
- Mokesčių planavime
- Ginčų sprendime
Pirkimo-pardavimo sandoriuose vertinimas padeda nustatyti teisingą kainą. Finansinėje atskaitomybėje vertinimas naudojamas turto ir įsipareigojimų vertei nustatyti. Mokesčių planavime vertinimas gali padėti sumažinti mokesčių naštą. Ginčų sprendime vertinimas gali būti naudojamas nuostoliams įvertinti.
